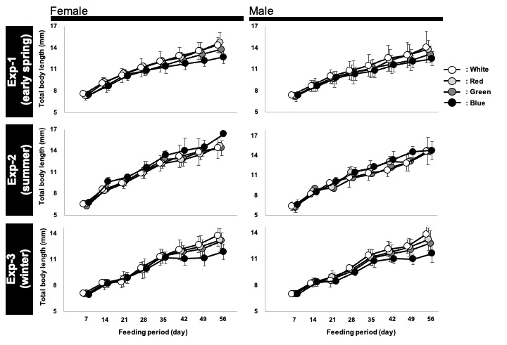
Organisms have the ability to adapt their behavior and physiology in response to seasonal changes in their habitat’s environments. Although it is known that a specific light wavelength affects growth and reproduction in various animal taxa, its effect on sexual and seasonal differences in year-round breeding animals remains unclear. Here, we demonstrate that a blue light stimulus promotes or suppresses larval growth in the red swamp crayfish Procambarus clarkia depending on the season. During the spawning season (natural growing period), blue light irradiation accelerates female growth faster than in males, but suppresses growth in both females and males in the overwintering season. Moreover, these seasonal plastic effects of blue light show apparent sexual differences, with female juveniles exhibiting the greatest sensitivity. Our findings provide an opportunity to research how the red swamp crayfish can adapt to various habitable niches from the point of view of light color perception, and can be applied for the development of a more effective aquaculture system, not only for crayfish, but also for other commercially available decapod crustaceans using a specific light environment.


